Navigation
Detail
Paul und die Terme
Urheber:
Jens Tiburski, CC0
Bildnummer:
P10967
Auflösung:
640x250
Format:
PNG
Quelle:
https://www.schulportal-thueringen.de/pixiothek/detail?tspi=P10967
Kurzbeschreibung:
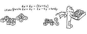
Das Bild gehört zur Serie "Paul". Es zeigt Paul beim Umformen von Termen. Das Bild ist unter CC0 lizenziert und kann somit frei verwendet werden.
Verwandte Bilder (Auswahl)
M_Längen Messen
(448x418)
Paul und die Terme
(480x446)
Zählen
(1024x1024)
Prozent
(2056x1542)
Begriffe aus der Mathematik
(2509x2400)
Zählen
(1024x1024)
Grabstätte David Hilbert (Stadtfriedh...
(2738x3651)
Symbolbild: Größen
(305x281)
M_Zahlen 10
(180x168)
Lehrbuch Mathematik
(550x550)
Verwandte Medien (Auswahl)
Es wurden aktuell keine verwandten Medien gefunden.